
益生菌,吃还是不吃?
看看科学证据怎么说!
如今益生菌产业发展得如火如荼,大家对于益生菌产品乃至益生菌的WHO定义已经耳熟能详。但是人们对于益生菌有基本了解是一回事,吃不吃益生菌又是另外一回事。
人们心里还会冒出各种更深层次的问题,比如
益生菌菌株是什么?
益生菌的作用机理是什么?
益生菌如何保持货架稳定性?
多菌株产品比单菌株产品更有效吗?
...
首先说一下哈!
益生菌的种(species)和株(strains)——菌株特异性
益生菌功效益处具有“菌株特异性”和“剂量依赖性”,就是说某一菌株的功效或治疗作用并不代表本属或种的益生菌都具有这一作用;而不同的菌株,发挥作用所需的剂量也不同,甚至同一菌株针对不同的疾病所需的剂量也有差异。
例如,下表所列的多种益生菌,虽然都属于乳杆菌(Lactobacillus)属,但都是不同的菌株。即便是属于同一个种(species),根据各种临床报告,其功效也不一样。
选择益生菌补充剂时,要看一下
l 用了哪个菌株?
l 用量多大?
l 特别是,产品是含有多个菌株吗?
Q&A
问题:单菌株和多菌株产品,哪个效果好?
以下两篇荟萃分析,结论都是多菌株优于单菌株。
Monostrain, Multistrain and Multispecies Probiotics -A comparison of functionality and efficacy (Timmerman, et al) 作者结论:与单菌株益生菌或多菌株益生菌相比,多菌种制剂更具优势。
Health Benefits of Probiotics: Are Mixtures More Effective Than Single Strains (Chapman, et al) 作者结论:基于有限数量的研究,多菌株益生菌看来比单菌株的功效更强,即便该单菌株是混合物本身的成分。
问题:益生菌在胶囊里会互相竞争吗?
经冷冻干燥的益生菌细胞是处于“休眠”状态,代谢上不活跃。所以不用担心哦。
问题:如果同时服用,抗生素会杀死益生菌吗?
来看一下以下临床报告,受试对象在接受每日两次Augmendin(阿莫西林和克拉维酸钾制剂,875mg胶囊)治疗时,粪便中双歧杆菌数量的变化情况。当每天食用2次含100亿个双歧杆菌的胶囊,粪便内双歧杆菌数量可以维持甚至超过原来的状态,而对照组的双歧杆菌数量下降至原来的40%。
(Engelbrektson et al (2009) J. Med. Microbiology),
问题:益生菌是如何生产出来的?
基本步骤是:接种、发酵、浓缩、冻干。生产过程中保持菌株稳定性最重要!
详细可参见以前本公号推送过的爆文:
杜邦益生菌是怎样生产出来的?
问题:如何使益生菌保持货架稳定性?
简单地说,就是要控制益生菌产品的水分活度。其中要用到分子筛技术哦。
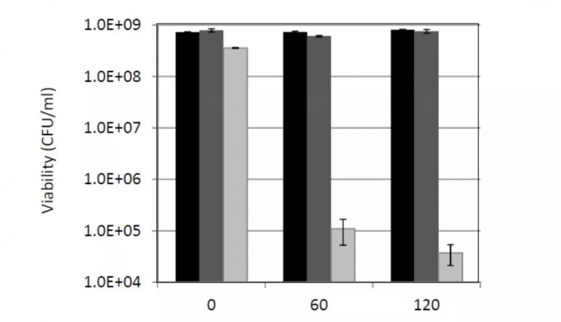
问题:益生菌可以活着通过胃液吗?
选择合适的菌株,加上合适的载体,益生菌在胃液里可以有很好的存活性。例如,在pH2.0的合成胃液中,双歧杆菌与牛奶或豆奶一起摄入,存活性几乎不受影响;而与等渗盐溶液一起摄入,活菌数在两个小时后减少约4个数量级。(Tee et al, unpublished)。 见下图。
Time(min)
本文根据杜邦营养与健康事业部首席应用专家Anders Henrriksson博士于2018年5月4日在 “Australian Pharmacy Professional Conference and Trade Exhibition” 会议上的相关发言改编。


评论